Яндекс регулярно добавляет новые инструменты в системы аналитики. В первой половине 2022 года в Директ добавили аналитический дашборд «Обзор», в Мастере отчетов появился новый показатель SOI, а Brand Lift стал доступен для всех рекламных кампаний. Обновления не обошли стороной и Метрику: в аналитике появились экспериментальные отчеты.
Содержание
Подробнее обо всех этих изменениях рассказали коллеги из PromoPult.
Аналитический дашборд «Обзор»
С февраля по март 2022 года Яндекс проводил закрытое тестирование дашборда «Обзор», после чего новый инструмент был добавлен во все аккаунты Директа. Сейчас сервис работает в режиме бета-тестирования.
При входе в аккаунт Директа на главной странице теперь открывается не блок с кампаниями, а дашборд «Обзор». Он включает в себя три виджета:
Сквозная аналитика из Метрики.
Ключевые показатели.
Эффективность продвижения.

Рассмотрим подробнее настройки нового дашборда и ключевые параметры каждого виджета.
Настройка дашборда
Пока для блока «Обзор» доступны только две настройки:
изменение порядка отображение виджетов;
выбор модели атрибуции.

Отключить или включить показ виджетов можно в настройках. В этом же окошке вы можете изменить порядок вывода блоков на странице дашборда: просто перетащите строку в нужное место курсором мыши.
1. Виджет «Сквозная аналитика из Метрики»
Этот виджет показывает результаты продвижения в разных рекламных сетях. Здесь можно посмотреть статистику по Директe, Google Ads, ВКонтакте. По умолчанию он выводит данные за последние 30 дней.
В статистике доступны показатели по кликам, конверсиям, расходам и доходах. Результаты представлены в виде линейного графика, где каждый показатель обозначен определенным цветом.

Все данные подгружаются из Метрики. Для корректной работы сквозной аналитики необходимо сделать следующее:
установить utm-метки в объявления;
указать в Метрике информацию о расходах по рекламным источникам;
настроить передачу данных по ClientID в вашу CRM-систему;
настроить передачу информации о продажах из CRM-системы в Метрику.
С помощью сквозной аналитики можно оценить эффективность разных источников трафика по основным показателям.
Например, выбрав пункт «Конверсии», вы можете проанализировать результаты по конкретной цели из Метрики. Для этого выберите интересующую вас цель из выпадающего списка. График мгновенно перестроится и покажет количество конверсий по этой цели для разных источников трафика:

Важно! Информация о конверсиях на дашборде может не совпадать с данными из Метрики, так как для их вычисления используются разные формулы.
2. Виджет «Аналитика по рекламным кампаниям Директ»
У него более гибкие настройки. Вы можете отслеживать изменение основных показателей и просматривать отчеты Директа.

Виджет аналитики по РК состоит из фильтров, выбора временного диапазона, ключевых показателей и графика.
Вы можете проанализировать статистику по определенным срезам. На момент бета-тестирования в виджете доступна фильтрация по месту показа рекламы, стратегии продвижения, статусу, названию и целям кампании.

Теперь перейдем к ключевым показателям. Здесь их намного больше, чем в виджете «Сквозная аналитика», но одновременно на график можно добавить только четыре из них. Чтобы задать срез, нажмите на значок выпадающего списка и укажите один из следующих параметров:

Каждый параметр выделен на графике отдельным цветом.

Для оценки динамики одного показателя нужно снять галочки со всех остальных:

Все эти данные можно посмотреть и в Мастере отчетов, но новый виджет нельзя назвать бесполезным. Этот инструмент проще и удобнее в использовании, поэтому его смогут освоить даже начинающие рекламодатели. Кроме того, он позволяет быстро оценить динамику основных показателей кампании.
3. Виджет «Эффективность продвижения»
Этот виджет напоминает Мастер отчетов, но с дополнительными визуальными составляющими. В верхней части блока доступны три основных среза:
Кампании.
Цели.
Места показа.
При выборе среза «Кампании» появится пузырьковая диаграмма. Каждый кружок соответствует отдельной рекламной кампании и показывает сумму расходов за выбранный период времени.

Если нажать на «Подробнее», то под диаграммой откроется таблица с более детальной информацией. В ней отображается статистика по количеству посетителей, показов, кликов и конверсий, а также по CTR, прибыльности, рентабельности, проценте отказов и другим важным показателям.

В таблице представлены данные без НДС.
При выборе среза «Цели» вместо пузырчатой появится линейная диаграмма. На ней отобразятся 10 основных целей РК, для которых вы можете задать еще один дополнительный срез. Например, посмотреть количество конверсий или ROI по каждой из них.

При выборе среза по месту показа появится диаграмма в форме воронки с пятью параметрами: показы, CTR, клики, CR и конверсии.
Верхняя часть воронки выкрашена в синий цвет и показывает данные по объявлениям на поиске. Нижняя зеленая часть воронки отвечает за статистику по объявлениям в РСЯ.

Пользователям PromoPult также доступна простая для чтения аналитика на интерактивном дашборде. Он не перегружен метриками и позволяет в динамике оценить основные показатели по всем рекламным кампаниям: расход, количество переходов, CTR, стоимость клика и другие. Подробно о функционале дашборда можно узнать здесь.
Доля выигрышей в аукционах — SOI
SOI (Share Of Impressions) — доля выигрышей рекламодателя в аукционах. Это новый показатель в Мастере отчетов Яндекс.Директа. SOI обновляется в режиме реального времени, измеряется в процентах и доступен только для рекламных кампаний с более 1000 показов в сутки. Если показов меньше, то в графе «Доля выигрышей» будет прочерк.
SOI особенно пригодится рекламодателям, продвигающим свой продукт в высококонкурентной сфере, например, недвижимости, ремонта, медицины. В таких областях важно опередить соперников и получить как можно больше показов. Доля выигрышей поможет понять, стоит ли увеличивать ставку для привлечения большего количества пользователей.
При расчете SOI учитывается множество факторов, в том числе качество объявлений, период работы кампании и условия таргетинга. В целом этот показатель нужен для того, чтобы оценить KPI кампании и найти дополнительные точки развития.
Где посмотреть долю выигрыша
Информация о SOI доступна в «Мастере отчетов». Столбец называется «Доля выигрышей». Статистику можно детализировать по дате и просмотреть данные за день, неделю, месяц, квартал или год.
Показатель SOI не отображается при просмотре отчета по срезам из:
Метка.
Условия показа.
Название площадки.
Регион.
Тип соответствия.
Условия подбора.
Место клика.
Размер изображения.
Форматы.
Также информация о доле выигрышей будет недоступна, если за указанный период количество показов рекламы было менее, чем 1000 в сутки.
Обновление Brand Lift
Brand Lift — это исследование для оценки узнаваемости бренда и отношения к нему потребителей. Проводится в формате автоматизированных опросов пользователей.

Исследование подходит для крупных компаний, работающих в конкурентных сферах. С его помощью можно проанализировать, насколько выросло количество человек, знающих бренд, запомнилась ли им реклама и хотят ли они покупать ваш продукт.
Раньше Brand Lift можно было провести только для одной рекламной кампании, теперь исследование доступно для всех рекламных кампаний в рамках одного аккаунта Директа.
Условия для запуска исследования
Brand Lift полностью бесплатен, но доступен не всем рекламодателям. Провести исследование можно только при одновременном выполнении трех условий:
суммарный бюджет по всем РК составляет не меньше 1 млн. рублей без НДС;
дневной бюджет на рекламу не меньше 70 000 рублей без НДС;
охват выше 2 миллионов человек.
Важно! В бюджетах учитываются именно фактические затраты на рекламу.
При этом обязательно, чтобы условия соблюдались в течение всего периода активности кампании, иначе опрос пользователей остановится.
Например, если фактические затраты на рекламу в сутки составляют 74 000 рублей, а кампания запущена только на 10 дней, то Brand Lift остановится, так как прогноз бюджета на весь период проведения исследования составит 740 000 рублей. Это меньше 1 млн, поэтому одно из условий оказывается невыполненным. В этом случае минимальный срок действия кампании составит 14 дней (74 000 х 14 = 1 036 000).
Исследование подключается только для медийной рекламы.
Как подключить опрос к РК
Brand Lift можно добавить при запуске новой кампании или включении РК с нулевым количеством показов. Есть возможность привязать одно исследование сразу к нескольким кампаниям. Желательно, чтобы продолжительность РК была от 2 до 4 недель. Этого времени достаточно для опроса достаточного количества пользователей.
Не рекомендуется менять условия таргетинга после запуска кампании с подключенным Brand Lift. Новые данные не будут учитываться, поэтому результаты опроса окажутся некорректными.
Для подключения опроса выберите блок Brand Lift в настройках кампании и нажмите «Заказать исследование» → «Создать опрос». Вы также можете выбрать уже готовый Brand Lift, если он есть.

Далее введите запрашиваемую информацию о своем бренде и укажите до четырех основных конкурентов. Если вы хотите проанализировать узнаваемость рекламного слогана, то добавьте пункт Ad Message Recall и укажите тексты слоганов для своего бренда и конкурентов.

После заполнения всех полей сохраните опрос. Для обновления информации воспользуйтесь кнопкой «Изменить параметры Brand Lift».
Менять настройки исследования можно до отправки кампании на проверку. После прохождения модерации эта возможность станет недоступна.
Показы рекламы начнутся даже при отклонении опроса модераторами. В этом случае нужно заново открыть настройки кампании и заполнить Brand Lift с учетом требований Директа. После сохранения изменений опрос автоматически отправится на повторную проверку.
Порядок подключения Brand Lift к нескольким кампаниям:
Перейдите на страницу всех кампаний и выберите нужные из них.
Нажмите Действия → Запустить Brand Lift.
В появившемся окне выберите готовый опрос или добавьте новый.
Исследование запустится сразу после одобрения опроса модераторами Яндекса и автоматически завершится после того, как будет собрано нужное количество информации для статистики. В некоторых случаях Brand Lift может работать еще до 14 дней после отключения рекламы.
Когда Яндекс закончит опрос пользователей, в блоке Brand Lift появится надпись «Исследование завершено» и ссылка на просмотр статистики.
Основные показатели Brand Lift
В процессе анализа аудитория РК делится на две группы:
Тестовая (А) — 90% пользователей. Этим людям показывается реклама вашего бренда.
Контрольная (Б) — 10% пользователей. Эти люди не видят ваши рекламные объявления.

Пользователям из контрольной и тестовой группы будут предлагать заполнить опрос из трех пунктов. Каждый вопрос Brand Lift направлен на исследование одного показателя эффективности продвижения вашего бренда.
На вопросы будут доступны по несколько вариантов ответа, среди которых указаны ваш бренд и конкуренты. При использовании Ad Message Recall в ответы также будут добавлены рекламные слоганы.
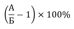
Brand Lift рассчитывается по простой формуле:

А — пользователи тестовой группы, указавшие в ответе ваш бренд.
Б — пользователи контрольной группы, выбравшие ваш бренд.
Увеличение показателя говорит о росте узнаваемости бренда. Чем выше результат — тем лучше.
Анализ результатов опросов
Метрики Brand Lift:
Ad Recall показывает, насколько людям запомнилась ваша реклама.
Brand Awareness измеряет узнаваемость бренда.
Purchase Intent — намерение приобрести товар.
Product Consideration — насколько люди готовы выбирать ваш бренд.
Brand Favorability — готовы ли пользователи отдать предпочтение вашему бренду среди конкурентов.
Ad Message Recall — узнаваемость вашего рекламного слогана.
В одном опросе можно измерить только три метрики на выбор из вышеперечисленных.

Экспериментальные отчеты в Метрике
Экспериментальные отчеты — это отчеты, находящиеся на этапе тестирования специалистами Яндекс.Метрики. Они доступны не всем пользователям и нужны, чтобы оценить востребованность и удобство новых инструментов аналитики. Находятся они здесь:

Самые успешные отчеты специалисты Метрики дорабатывают и подключают уже для широкого круга пользователей. Особенности тестовых отчетов в том, что их нельзя самостоятельно включить, поменять настройки или период среза.
Список отчетов постоянно меняется. Сейчас доступны шесть вариантов:
Пути посетителей.
Воронки от Метрики.
Возвращаемость пользователей.
Прогнозы по трафику.
Бенчмарки: динамика трафика.
Бенчмарки: возвращаемость.
Рассмотрим детальнее каждый из них.
1. Пути посетителей

Отчет показывает маршруты пользователей по сайту. Подробный анализ этой статистики поможет выявить проблемные места сайта, оптимизировать пути посетителей до целевых страниц и лучше понять поведение своей аудитории.
Например, с помощью этого отчета можно выяснить, почему пользователи не доходят до страницы оформления заказа. Возможно, путь к покупке слишком сложен и человеку приходится совершать много кликов и переходов, прежде чем он попадет на нужную ему страницу.
2. Воронки Метрики
Отчет «Воронки» показывает, на каком этапе пользователи покидают сайт. Статистика помогает выявить и устранить причину отсутствия конверсий.
Простой пример: посетитель зашел на сайт, просмотрел каталог, добавил товар в корзину, но на этапе оформления заказа закрыл страницу и больше не вернулся. Если такая ситуация повторяется слишком часто, то причину плохой конверсии стоит искать на странице оформления покупки. Возможно, человек не смог разобраться с заполнением формы, доставка оказалась слишком дорогой или у вас просто не работает кнопка оплаты.
В отчете отображаются только посетители, совершившие определенные шаги до покупки. Например, просмотр и добавление товара в корзину. При этом пользователь будет учтен в воронке даже если эти действия были совершены в разные дни.
Важно! Отчет «Воронки» показывается только при подключенной электронной коммерции.

На скриншоте выше в отчете отражены четыре группы посетителей:
все посетители сайта;
просмотрели товар;
добавили товар в корзину;
сделали заказ.
В статистике можно отдельно посмотреть воронки для мобильных и десктопов. Для этого нужно выбрать диаграмму «По устройствам». Зеленым цветом выделена диаграмма статистики по ПК, а желтым — по мобильным устройствам.
3. Возвращаемость посетителей
Отчет показывает, сколько новых посетителей из разных источников вернулось на сайт. Статистика будет полезна для владельцев как коммерческих, так и информационных ресурсов.

В отчете учитываются пользователи, впервые пришедшие на сайт и вернувшиеся на него в течение последующих 13 недель. Статистика представлена в виде линейного графика, где каждый источник трафика выделен своим цветом. Чем выше процент возвращений, тем более лояльная и заинтересованная аудитория приходит из этого источника.
Данные разбиты по календарным неделям. Нулевая неделя начинается с первой даты временного периода, за который построен отчет.

4. Прогноз трафика
Отчет «Прогноз трафика» помогает оценить потенциальный прирост или падение количества посетителей на вашем сайте. Специалисты Яндекса не раскрывают особенностей расчета этих данных. Известно лишь то, что вычисление проводится на основе текущей посещаемости и тенденций развития сайта.
Прогноз трафика можно использовать для оценки потенциальной нагрузки на сервер, подготовки отдела продаж к обслуживанию заявок или для покупки рекламы. Например, если согласно отчету летом ожидается спад естественного трафика, то для сохранения продаж на прежнем уровне можно запустить рекламную кампанию.
5. Бенчмарки: динамика трафика
Отчет показывает динамику посещаемости вашего сайта относительно рынка. Для анализа статистики алгоритм Метрики самостоятельно подбирает сайты, похожие на ваш. При этом учитываются не только тематика, но и трафик ресурсов. То есть маленький сайт вряд ли будет сравниваться с лидером ниши, даже если у них одна специализация.
По статистике отчета можно оценить свой сайт относительно конкурентов. Например, если вы видите, что конкурирующие проекты растут намного быстрее, то это сигнал к тому, чтобы активнее заняться продвижением своего ресурса. Скорее всего, вы используете далеко не весь возможный потенциал.
Средняя динамика посещаемости будет доступна при условии, что в настройках счетчика Метрики включена опция «Получать доступ к отчетам по рынку».
6. Бенчмарки: возвращаемость
Отчет показывает процент возвращаемости посетителей по вашему сайту относительно рынка. Чем выше этот показатель, тем чаще пользователи возвращаются на ваш сайт после первого посещения.
Как и при оценке средней динамики трафика, Метрика подбирает для сравнения сайты, максимально похожие на ваш. Учитываются тематика, трафик и география.
Общую динамику возвращаемости можно оценить на линейном графике. Если нужна детальная статистика, то график легко переключить на логарифмический вид. Для этого нужно нажать на кнопку «Рассмотреть детали».

Статистика доступна только при включенной опции получения доступа к рыночным отчетам.
Как отключить отчеты по рынку
«Получение отчетов по рынку» — это новая опция, появившаяся в настройках счетчика Метрики после 30 апреля 2022 года. Она доступна только при условии, что в Метрике собрано достаточное количество данных для сравнения сайта с другими участниками рынка. Информация внутри статистики обезличенная. В отчете нет ни адресов, ни каких-либо других данных о сравниваемых сайтах.
Опцию можно отключить в Метрике в разделе «Дополнительные настройки счетчика». После ее отключения статистика по вашему сайту не будет использоваться для исследований. При этом вы также не сможете просматривать отчеты по средней динамике трафика и возвращаемости посетителей, о которых мы упоминали выше.
При включении опции данные для статистики и сравнения собираются примерно месяц.
Новые возможности в аналитике Яндекса позволяют еще детальнее углубиться в анализ рынка. Рекомендуем протестировать доступные новинки, ведь среди них есть действительно полезные и удобные инструменты.